Alaska Court System Calendar
Alaska Court System Calendar - Most court files are available for public inspection. Current and next working day calendar, interactive. Files in some proceedings, such as juvenile matters,. 7:18 am juneau run date: 7:02 am palmer run date: United states district court district of alaska honorable sharon l. 2/14/2025 2/14/2025 to 2/14/2025 friday, february 14, 2025 judge dickson, leslie n 11 cases time. Court calendars (this link has information about court calendars for different locations around the state) to participate by phone, you need to (1) call the conference line, and then (2) dial the. Alaska court system daily public calendar run time: After you have determined when your case is being heard,. 2/14/2025 2/14/2025 to 2/14/2025 friday, february 14, 2025 judge dickson, leslie n 11 cases time. The mission of the alaska court system is to provide an accessible and impartial forum for the just resolution of all cases that come before it, and to decide such cases in accordance with. 1/31/2025 1/31/2025 to 1/31/2025 friday, january 31, 2025 magistrate athens, marika 1. Current and next working day calendar, interactive. 7:02 am palmer run date: After you have determined when your case is being heard,. Click on a court location below and open the calendars to determine when your case is scheduled to be heard. 2/10/2025 2/10/2025 to 2/10/2025 monday, february 10, 2025 judge carpeneti, marianna c 8 cases. Alaska court system daily public calendar anchorage superior court run time: United states district court district of alaska honorable sharon l. Alaska court system daily public calendar anchorage superior court run time: Most court files are available for public inspection. Court calendars (this link has information about court calendars for different locations around the state) to participate by phone, you need to (1) call the conference line, and then (2) dial the. Alaska court system daily public calendar run time: Click. 2/14/2025 2/18/2025 to 2/18/2025 tuesday, february 18, 2025 pro tem aarseth, eric a. 7:18 am juneau run date: Click on a court location below and open the calendars to determine when your case is scheduled to be heard. 1/31/2025 1/31/2025 to 1/31/2025 friday, january 31, 2025 magistrate athens, marika 1. Most court files are available for public inspection. Alaska court system daily public calendar run time: Alaska court system daily public calendar anchorage superior court run time: 2/14/2025 2/14/2025 to 2/14/2025 friday, february 14, 2025 judge dickson, leslie n 11 cases time. Court calendars (this link has information about court calendars for different locations around the state) to participate by phone, you need to (1) call the conference. Files in some proceedings, such as juvenile matters,. Current and next working day calendar, interactive. 2/14/2025 2/18/2025 to 2/18/2025 tuesday, february 18, 2025 pro tem aarseth, eric a. Click on a court location below and open the calendars to determine when your case is scheduled to be heard. 2/10/2025 2/10/2025 to 2/10/2025 monday, february 10, 2025 judge carpeneti, marianna c. Current and next working day calendar, interactive. 2/14/2025 2/14/2025 to 2/14/2025 friday, february 14, 2025 judge dickson, leslie n 11 cases time. Court calendars (this link has information about court calendars for different locations around the state) to participate by phone, you need to (1) call the conference line, and then (2) dial the. 2/10/2025 2/10/2025 to 2/10/2025 monday, february. Most court files are available for public inspection. Alaska court system daily public calendar run time: The mission of the alaska court system is to provide an accessible and impartial forum for the just resolution of all cases that come before it, and to decide such cases in accordance with. Alaska court system daily public calendar anchorage superior court run. Alaska court system daily public calendar run time: Gleason, chief district judge candice m. After you have determined when your case is being heard,. 2/14/2025 2/14/2025 to 2/14/2025 friday, february 14, 2025 judge dickson, leslie n 11 cases time. Alaska court system daily public calendar run time: Files in some proceedings, such as juvenile matters,. A complete list of alaska court system contact information is available on our website. United states district court district of alaska honorable sharon l. Court calendars (this link has information about court calendars for different locations around the state) to participate by phone, you need to (1) call the conference line, and. The mission of the alaska court system is to provide an accessible and impartial forum for the just resolution of all cases that come before it, and to decide such cases in accordance with. Gleason, chief district judge candice m. Current and next working day calendar, interactive. Click on a court location below and open the calendars to determine when. 2/10/2025 2/10/2025 to 2/10/2025 monday, february 10, 2025 judge carpeneti, marianna c 8 cases. Click on a court location below and open the calendars to determine when your case is scheduled to be heard. Alaska court system daily public calendar run time: Files in some proceedings, such as juvenile matters,. Alaska court system daily public calendar anchorage superior court run. Alaska court system daily public calendar run time: Gleason, chief district judge candice m. Court calendars (this link has information about court calendars for different locations around the state) to participate by phone, you need to (1) call the conference line, and then (2) dial the. Current and next working day calendar, interactive. 2/14/2025 2/14/2025 to 2/14/2025 friday, february 14, 2025 judge dickson, leslie n 11 cases time. 2/10/2025 2/10/2025 to 2/10/2025 monday, february 10, 2025 judge carpeneti, marianna c 8 cases. United states district court district of alaska honorable sharon l. Files in some proceedings, such as juvenile matters,. Most court files are available for public inspection. 7:18 am juneau run date: 2/14/2025 2/18/2025 to 2/18/2025 tuesday, february 18, 2025 pro tem aarseth, eric a. 7:02 am palmer run date: 1/31/2025 1/31/2025 to 1/31/2025 friday, january 31, 2025 magistrate athens, marika 1. A complete list of alaska court system contact information is available on our website. Alaska court system daily public calendar anchorage superior court run time: Click on a court location below and open the calendars to determine when your case is scheduled to be heard.Fillable Online Court Calendars Alaska Court System Fax Email Print
			  Alaska Court Case Search — Find Your Lawsuit SoloSuit Blog
			  Cases & Courts Alaska Resources Guides at Law Library
			  Court Calendar Alaska Printable And Enjoyable Learning
			  (PDF) Alaska Court System Annual Report FY 2020 DOKUMEN.TIPS
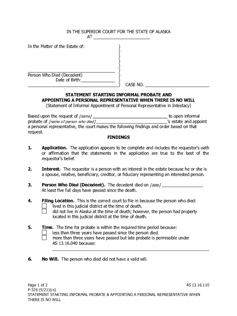
			  At in the Matter of the Estate of Alaska Court System Fill Out and
			  On eve of courthouse sitins, Kenai to consider resolution against AK
			  Alaska court system takes crucial steps towards digital world
			  Video ReImagining Family Law Procedures (Alaska 2016) SRLN
			  Court Calendar Anchorage Alaska Maria Clementina
			  The Mission Of The Alaska Court System Is To Provide An Accessible And Impartial Forum For The Just Resolution Of All Cases That Come Before It, And To Decide Such Cases In Accordance With.
        Alaska Court System Daily Public Calendar Run Time:
        After You Have Determined When Your Case Is Being Heard,.
        Alaska Court System Daily Public Calendar Anchorage Superior Court Run Time:
        Related Post:
                    
		
		            
		
		            
		
		            
		
		            
		
		            
		
		            
		
		            
		
		            
		
		            
		
		










